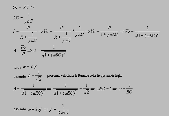
Una volta ricavata la formula della frequenza di taglio, grazie al metodo teorico, andiamo a sostituire nella formula i valori riportati nel circuito in questione ottenendo una ft = 1,59Khz. Anche la fase della tensione di uscita, come detto prima, risultera' legata alla frequenza, infatti:

La frequenza nella formula precedente, compare nel parametro


come prima indicato.


Ritorna indietro